Demonstração II

Matemática para Gregos & Troianos

Na página anterior obtivemos a representação de © 2002-2006, Matemática para Gregos & Troianos - Carlos César na base © 2002-2006, Matemática para Gregos & Troianos - Carlos César mediante substituições e expansões sucessivas. O mesmo procedimento pode ser apresentado de maneira mais elegante se usarmos a propriedade telescópica dos somatórios (veja o CD Números, Capítulo II, Somatórios, fórmula S6). Como antes, partimos da fórmula do resto euclidiano em função do piso

© 2002-2006, Matemática para Gregos & Troianos - Carlos César

da qual obtemos (por substituição de © 2002-2006, Matemática para Gregos & Troianos - Carlos César por © 2002-2006, Matemática para Gregos & Troianos - Carlos César)

© 2002-2006, Matemática para Gregos & Troianos - Carlos César

e (após multiplicar os dois membros por © 2002-2006, Matemática para Gregos & Troianos - Carlos César)

© 2002-2006, Matemática para Gregos & Troianos - Carlos César

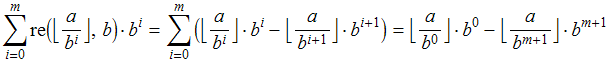
Segue-se que, para todo © 2002-2006, Matemática para Gregos & Troianos - Carlos César,

© 2002-2006, Matemática para Gregos & Troianos - Carlos César

ou ainda (tendo em vista que estamos supondo © 2002-2006, Matemática para Gregos & Troianos - Carlos César)

© 2002-2006, Matemática para Gregos & Troianos - Carlos César

Mas provamos na página anterior que

© 2002-2006, Matemática para Gregos & Troianos - Carlos César

Assim,

© 2002-2006, Matemática para Gregos & Troianos - Carlos César

de modo que (fazendo © 2002-2006, Matemática para Gregos & Troianos - Carlos César na última soma acima)

© 2002-2006, Matemática para Gregos & Troianos - Carlos César

exatamente como antes.

Carlos César de Araújo, 16 de abril de 2006, 15:31:05